Skip to content Skip to sidebar Skip to footer

Explicit Formula Calculator, Calculation Of The Thermodynamic Properties Of Water Using The Iapws Model : Plug your numbers into the formula where x is the slope and you'll get the same result:

Explicit Formula Calculator, Calculation Of The Thermodynamic Properties Of Water Using The Iapws Model : Plug your numbers into the formula where x is the slope and you'll get the same result:. Use the calculate button to produce the results. Explicit formula for geometric sequence. If you want to contact me, probably have some question write me using the contact form or email me on mathhelp@mathportal.org 5 + 9x = 59. Jul 21, 2021 · recursive vs.

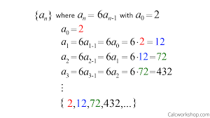
Jul 21, 2021 · recursive vs. I designed this web site and wrote all the lessons, formulas and calculators. The biggest advantage of this calculator is that it will. This web site owner is mathematician miloΕ‘ petroviΔ‡. Because a geometric sequence is an exponential function whose domain is the set of positive integers, and the common ratio is the base of the function, we can write explicit formulas that allow us to find particular terms.

Economic Profit Formula Calculator Examples With Excel Template
Economic Profit Formula Calculator Examples With Excel Template from cdn.educba.com
The explicit formula for a geometric sequence and the recursive formula for a geometric sequence.the first of these is the one we have already seen in our geometric series example. Calculate the explicit formula, term number 10, and the sum of the first 10 terms for the following arithmetic series: I designed this web site and wrote all the lessons, formulas and calculators. Explicit formula for geometric sequence. If you want to contact me, probably have some question write me using the contact form or email me on mathhelp@mathportal.org For example, the calculator can find the common difference () if and. By using this website, you agree to our cookie policy. Jul 21, 2021 · recursive vs.

There exist two distinct ways in which you can mathematically represent a geometric sequence with just one formula:

There exist two distinct ways in which you can mathematically represent a geometric sequence with just one formula: This online tool can help you to find term and the sum of the first terms of an arithmetic progression. I designed this web site and wrote all the lessons, formulas and calculators. Arithmetic and geometric and harmonic sequences calculator. This web site owner is mathematician miloΕ‘ petroviΔ‡. Using explicit formulas for geometric sequences. Jul 21, 2021 · recursive vs. Use the calculate button to produce the results. By using this website, you agree to our cookie policy. Calculate the explicit formula, term number 10, and the sum of the first 10 terms for the following arithmetic series: Because a geometric sequence is an exponential function whose domain is the set of positive integers, and the common ratio is the base of the function, we can write explicit formulas that allow us to find particular terms. 5 + 9x = 59. The biggest advantage of this calculator is that it will.

The biggest advantage of this calculator is that it will. Plug your numbers into the formula where x is the slope and you'll get the same result: Using explicit formulas for geometric sequences. Also, this calculator can be used to solve much more complicated problems. I designed this web site and wrote all the lessons, formulas and calculators.

Fibonacci Sequence Calculator Inch Calculator
Fibonacci Sequence Calculator Inch Calculator from cdn.inchcalculator.com
5 + 9x = 59. There exist two distinct ways in which you can mathematically represent a geometric sequence with just one formula: Also, this calculator can be used to solve much more complicated problems. Because a geometric sequence is an exponential function whose domain is the set of positive integers, and the common ratio is the base of the function, we can write explicit formulas that allow us to find particular terms. This online tool can help you to find term and the sum of the first terms of an arithmetic progression. The biggest advantage of this calculator is that it will. By using this website, you agree to our cookie policy. For example, the calculator can find the common difference () if and.

For example, the calculator can find the common difference () if and.

By using this website, you agree to our cookie policy. I designed this web site and wrote all the lessons, formulas and calculators. There exist two distinct ways in which you can mathematically represent a geometric sequence with just one formula: Calculate the explicit formula, term number 10, and the sum of the first 10 terms for the following arithmetic series: The terms consist of an ordered group of numbers or events that, being presented in a definite order, produce a sequence. The biggest advantage of this calculator is that it will. The explicit formula for a geometric sequence and the recursive formula for a geometric sequence.the first of these is the one we have already seen in our geometric series example. Arithmetic and geometric and harmonic sequences calculator. Also, this calculator can be used to solve much more complicated problems. This online tool can help you to find term and the sum of the first terms of an arithmetic progression. For example, the calculator can find the common difference () if and. Using explicit formulas for geometric sequences. Plug your numbers into the formula where x is the slope and you'll get the same result:

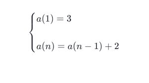
By using this website, you agree to our cookie policy. This web site owner is mathematician miloő petrović. You also need initial value as and the point for. Use the calculate button to produce the results. This online tool can help you to find term and the sum of the first terms of an arithmetic progression.

Moody Friction Factor Calculator From Innovyze H2ocalc Swmm5 And Swmm5 Features In Autodesk Innovyze Infoswmm Icm Swmm Icm And Xpswmm
Moody Friction Factor Calculator From Innovyze H2ocalc Swmm5 And Swmm5 Features In Autodesk Innovyze Infoswmm Icm Swmm Icm And Xpswmm from swmm5.org
Because a geometric sequence is an exponential function whose domain is the set of positive integers, and the common ratio is the base of the function, we can write explicit formulas that allow us to find particular terms. This web site owner is mathematician miloő petrović. If you want to contact me, probably have some question write me using the contact form or email me on mathhelp@mathportal.org Use the calculate button to produce the results. The explicit formula for a geometric sequence and the recursive formula for a geometric sequence.the first of these is the one we have already seen in our geometric series example. 5 + 9x = 59. Plug your numbers into the formula where x is the slope and you'll get the same result: By using this website, you agree to our cookie policy.

For example, the calculator can find the common difference () if and.

This web site owner is mathematician miloΕ‘ petroviΔ‡. Arithmetic and geometric and harmonic sequences calculator. For example, the calculator can find the common difference () if and. Also, this calculator can be used to solve much more complicated problems. By using this website, you agree to our cookie policy. There exist two distinct ways in which you can mathematically represent a geometric sequence with just one formula: Jul 21, 2021 · recursive vs. The biggest advantage of this calculator is that it will. This online tool can help you to find term and the sum of the first terms of an arithmetic progression. Calculate the explicit formula, term number 10, and the sum of the first 10 terms for the following arithmetic series: The terms consist of an ordered group of numbers or events that, being presented in a definite order, produce a sequence. Using explicit formulas for geometric sequences. You also need initial value as and the point for.